Emergency Towing Booklet
| Yacht Name | M/Y --- | Shipyard | |
| Flag | Port of Registry | ||
| Revision | 1.3 | Date of issue | 02 Feb 2023 |
| Gross Tonnage | Date of Keel Laying | ||
| Company | Yachting Concept Monaco | Office Number | +377 99 90 16 30 |
| Director | Thierry Roux | ||
| Designated Person | Christophe Guegan | 24/7 Phone | +377 99 92 36 48 |
| Company approval | RO approval | ||
| Date | Date |
This plan has been developed for M/Y _________ and is valid until further revision.
This plan has been electronically signed and approved by the master and the Chief Engineer on DeepBlue© ISM procedures
1. Introduction
1.1. Overview
The ISM Code requires the preparation of plans and instructions, including checklists as appropriate, for key shipboard operations concerning the safety of the ship and prevention of pollution. All Ships above 500GT shall be provided with a ship-specific emergency towing procedure as per SOLAS Ch-11-1 Reg: 3-4, MSC. 256 (84).
A minimum of three copies should be kept on board and located in:
- The bridge;
- The mooring station;
- The ship’s office/radio room.
1.2. Scope and Responsibility
This procedure relates to towing procedures in case of an emergency.
Master and officers must use this procedure and their good seamanship to direct the operation. The bosun is in charge of the final execution of the procedure, the regular checks and maintenance of the equipment at all times and reports to the chief officer in case of non-conformities or loss of original properties of the equipment used in this procedure. Deck crew members must be familiar with the current procedure and will be directed by the officer in charge or the bosun.
The captain will be responsible for implementing the SMS onboard and the overall execution of the emergency towing operation.
The chief officer will be responsible for the maintenance of the required safety equipment (Radio, throwing lines, …) and appropriate training of crew members.
The Engineers will be responsible for regularly testing and inspecting the mooring platform’s electric and pulling equipment.
No other personnel are necessary for the execution of the plan, nor will chartered guests be allowed to access areas where the towing operation will be executed.
1.3. References
- DNV Towing Recommendations by Rolf Hilmar Hansen, Det Norske Veritas, Norway
- Tugs and Tows – A Practical Safety and Operational Guide by shipownersclub.com
- TP 11960E (01/2017) by Transport Canada (Link)
2. Ship’s calculations
2.1. General
Regardless of the technical condition of the towing vessel, equipment and towed object as addressed in the following chapters, the success of the towing operation is highly dependent on the standard and experience of the crew, and in particular the master. This issue is not discussed further in this paper; it is assumed that the crew holds the relevant certificates and that proper seamanship will be exercised.


2.2. Weather
At all times, the weather forecast should be closely monitored by the bridge team because the effect of severe wind and heavy swell can dramatically increase the bollard pull needed to complete the tow. The master should strongly consider being weather routed by the shore and shall seek shelter if weather situations exceeding the operation criteria are forecasted or experienced. Ports of refuge and/or areas of shelter shall be defined in the towing procedures. A Beaufort Force 5 or better for the coming 24 hours is normally applicable for towing operations. In case of adverse weather conditions, the operation will aim to ensure adequate distance to shore.
Beaufort Scale
| Scale | Description | Wind Speed (kt) | Wave Swell (m) |
|---|---|---|---|
| 0 | Calm | < 1 | 0 |
| 1 | Light Air | 1-3 | 0–0.3 |
| 2 | Light Breeze | 4-6 | 0.3–0.6 |
| 3 | Gentle Breeze | 7-10 | 0.6–1.2 |
| 4 | Moderate Breeze | 11-16 | 1–2 |
| 5 | Fresh Breeze | 17-21 | 2–3 |
| 6 | Strong Breeze | 22-27 | 3–4 |
| 7 | Light Gale | 28-33 | 4–5.5 |
| 8 | Gale | 34-40 | 5.5–7.5 |
The master will decide the maximum speed allowed during the towing operation based on the calculated bollard pull (see next page), which is strongly related to the weather conditions.
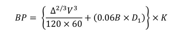
2.3. The bollard pull
Bollard pull (BP) is a conventional measure of the pulling (or towing) power of a watercraft. It is defined as the force (in tons or kilo-newtons (kN)) exerted by a vessel under full power, on a shore-mounted bollard through a tow-line.

Chosen values (To be updated for each yacht)
| △ | full displacement of towed vessel (tons) | 1777 Tons |
|---|---|---|
| V | tow speed (knots) | 4 kts |
| B | breadth of towed vessel (meters) | 12,5 |
| D1 | depth of the exposed transverse section of the towed vessel including deck cargo, measured above the waterline (meters) | 14,65 |
| K | a factor that reflects potential weather and sea conditions | 3 |
| BP | required bollard pull (tons) | 39,5 Tons (Result) |
Example of calculated results

2.4. Safety factors regarding towline
The most important question is what the towline strength should be concerning the bollard pull of a tug.
Det Norske Veritas requires for tugs a minimum breaking strength of 2.2 times the bollard pull. One should carefully consider what the minimum breaking strength of a towline is. A few other aspects have to be kept in mind concerning an appropriate safety factor:
- Splices in a rope will decrease the minimum breaking strength by 10%.
- There can be a rather large average reduction in towline strength of 40% to 50% over two years.
- Low temperature affects the performance of ropes.
- A tug sometimes has to work with a steep towline angle, for instance, when a ship has to enter a port. Up to a vertical towline angle of 40°, the influence on the force in the towline is not so large. However, when the vertical towline angle further increases, the force in the towline increases very rapidly. At a vertical towline angle of 60°, the force is already twice the exerted towing force of the tug.
- The towline should have a SWL of a factor of 2.2 from the needed pull.
- The towing must have a breaking load lower than the towed vessel’s bollard, which is 110kN, to prevent damage to the structure.
- The towline should accept a decent stretching to avoid structural damage due to the shocks when the line is put in tension. This table is to be updated with the yacht’s existing towline and the certificate to be provided in the annexes.
2.5. Towline specification
This table to be updated with yacht existing towline and the certificate to be provided in the annexes.
| Brand | Levasud | Model | 8 Torons White |
|---|---|---|---|
| Diameter | 44mm | length | 180m |
| Material | Polypropylene | Breaking Load | 32250 kg |
| Date | 2019 |
3. Operations
3.1. Communication plan
The ship’s master needs to communicate to the salvage/towing ship. This list should include but not be limited to:
- Damage or seaworthiness;
- Status of ship steering;
- Status of propulsion machinery;
- Status of on deck power systems;
- On-board towing equipment;
- Existing emergency rapid disconnection system;
- Forward and aft towing point locations;
- Equipment, connection points, strong points and safe working loads (SWL);
- Towing equipment dimensions and capacities;
- Ship particulars;
3.2. Bridge procedure
| # | Operations | Action | ✓ |
|---|---|---|---|
| 1 | Wheelhouse to coms | CHECKED | |
| 2 | DPA | CONTACTED | |
| 3 | Shore authorities | CONTACTED | |
| 4 | Watertight doors | CLOSED | |
| 5 | Towing lights (stern and side lights) | ON | |
| 6 | Day shapes | DISPLAYED | |
| 7 | Dangerous zone evacuated while pulling | CONTROLLED | |
| 8 | Maximum speed based on table condition | MONITORED | |
| 9 | Lookout monitoring the line from a safe position | POSTED |
3.3. Personnel distribution & Communication
The towing operation should be conducted following the organisation chart. Onboard radio communication is reduced to the minimum from the captain to the Chief Officer. Ship to Tug is done from the wheelhouse using VHF Ch 16.
The crew on the mooring station follows the orders from the bridge and never from the towing vessel personnel.

3.4. General guide for Safe handling of towlines
- A sufficient number of heaving lines of proper length and strength should be ready in time at the mooring stations for hauling the tug towlines aboard. The end of the heaving line should have a proper knot or something similar. The end of the tow line should never be weighted with inappropriate objects such as metal bolts, which may injure the crew of the tug.
- The condition of the tug's towlines is unknown, and the crew on mooring stations will not normally be aware when the tug is towing or what load is applied to the line. It is therefore important to stay well clear of the towline at all times.
- When the tug is being secured or let go, the person in charge of the mooring should monitor the operation closely to ensure that no load comes on to the line before it is properly secured, or whilst it is being cast off.
- Never let a tug go until instructed to do so from the bridge; do not respond to directions from the tug's crew, but give them a clear signal when you are about to let go.
- If the towline is provided with an eye, heave this past the bitts so that there is sufficient slack line to work with, stopper off the line, then put the eye on the bitts. Do not try to manhandle a line onto a bitt if there is insufficient slack line. If the line has no eye and is to be turned up on the bitts, then it should always be stoppered off before handling.
- The eye or shackle by which the messenger line is fastened to the towline should be removed from between the bollard and tow line to prevent damaging the towline and/or the eye or shackle of the messenger line.
- It is important to have the towline at the lowest position on the bollard to avoid excessive forces on the top of the bollard when powerful tugs are used.
- Do not try to hold a line in position by standing on it just because it is slack - if the tug moves away, so will the person standing on the line.
- When letting go, do not simply throw the line off the bits and let it run out; always slack it back to the fairlead, using a messenger line, and lower it as far as possible in a controlled way on the tug's deck.
3.5. Mooring station procedure
This pattern is used when the towing is made using the ship’s towing line and determined considering the ship specific arrangement of the facilities on mooring station.
Two mooring lines are passed in double to the main shackle which is directly connected to the towing line. The lines are made fast to the 4 bollards.

Step 1 - Towing line flocking: The towing line to be flocked on the deck of the helideck in a way to allow the line to go without any knots and underneath the handrails.
Step 2 - Connect the towing line: The end of the towing line should be connected to the monkey fist to allow the connection from the “Panama” fairlead. The splice is rigged with a Omega shackle in which the two mooring lines are passed.
Step 3 - Line Throwing: Follow the instructions to send the line towards the tug. The line is secured to the inside of the container by a quick release knot.

Step 4 - Passing the line to the tug: The end of the towing line in direction of the tug should be connected to the thin line when the tug is ready to pull.
Step 5 - Tuning of the mooring lines length: After the towing line is completely passed to the tug, apply a soft pull from the tug and tune the length of the 2 mooring lines to equilibrates the forces on the 2 lines.
3.6. Towing from stern
This pattern is used when the towing is made using the ship’s 2 stern lines connected with a high resistance shackle to the towing vessel’s towing line, and determined considering the ship’s specific arrangement of the facilities on the aft mooring station. This arrangement should be used when towing from the bow is not practical and at slow speed only. Or when towing another ship by the stern, consideration of the arrangement of the other ship has to be taken into account in determining the towing speed.

The system use the same principle of 2 mooring line passed in double into a shackle connected at the end of the towing line.
Step 1 - Towing line flocking: The towing line to be flocked on the floor of the swim platform in a way to allow the line to be ready to go without any knots.
Step 2 - Receiving the thrown line: It is usual that the salvaged vessel sends its throwing line, so the crew prepares to receive a thin line from the other vessel.
Step 3 - Line Throwing: If requested by the captain, prepare to send own thin line. Follow the instructions to send the line towards the tug. The line is secured to the inside of the container by a quick release knot.

Step 4 - Connect to the towing line: The other end of the towing line is rigged with a Omega shackle in which the two mooring lines are passed.
Step 5 - Bollards turn: The mooring lines are then turned onto the 4 bollards estimating an equal length for the 2 mooring lines.
Step 6 - Tuning of the mooring lines length: After the towing line is completely passed to the tug, apply a soft pull from the tug and tune the length of the 2 mooring lines to equilibrates the forces on the 2 lines.
Annex A: Towing arrangement plan
Annex B: Towing line certificate
Revision History
| Version | Date | Editor | Revision history |
|---|---|---|---|
| 1.0 | 22 Jan 2019 | Christophe Guegan | Initial Commit |
| 1.1 | 31 Jan 2019 | Christophe Guegan | Updates and corrections |
| 1.2 | 16 Jun 2020 | Christophe Guegan | Updates and corrections |
| 1.3 | 02 Dec 2023 | Christophe Guegan | Generic version |

